干货分享
干货分享|分子量分布研究为什么大家选择GPC-MALS-RI联用技术呢?

什么是分子量分布?
聚合物和低分子量化合物不同,没有一个固定的分子量,而是不同分子量同系物的混合体系。因此聚合物分子量是一个平均值,有一个分布的概念。这种分子量的不均一性,称作聚合物的多分散性。高聚物试样的多分散性通常采用多分散系数α来表征,多分散系数是重均分子量与数均分子量的比值或者Z均分子量与重均分子量的比值。
若要确切描述高聚物试样的分子量,除应给出分子量的统计平均值外(数均分子量、重均分子量、Z均分子量、粘均分子量),还应给出试样的分子量分布。分子量分布曲线、分布宽度指数和多分散系数可以描述高聚物试样的多分散性。
分子量分布测定是将聚合物按照其分子量的大小分离成若干级分—分级,然后测定出各个级分的分子量和相对含量。常用的研究方法有沉淀分级法、超速离心沉降法和凝胶渗透色谱法等。
什么是凝胶色谱-光散射-示差联用技术?
凝胶渗透色谱(Gel Permeation Chromatography),又称尺寸排阻色谱法(Size Exclusion Chromatography,简称SEC),诞生于上世纪六十年代,目前已成为测定聚合物分子量大小和分布的最重要方法之一。
凝胶色谱分离过程是在装有多孔凝胶物质的凝胶色谱柱中进行的。当被分析样品随着流动相进入色谱柱后,由于浓度差,所有溶质分子都会向凝胶表面孔穴渗透。体积较小的分子即能够进入较大的孔穴,也可以进入较小的孔穴,向孔内扩散的较深,最终路径较长即在柱内的停留时间较长;体积较大的分子只能进入较大的孔穴,而更大的分子不能进入孔穴只能从凝胶的空隙流过,因此最先流出色谱柱,即淋出体积或时间最小。如图所示:

样品分级流出后,利用浓度检测器检测高分子级分的浓度。常用的检测器为示差折光检测器(RI),其浓度响应是淋洗液的折光指数与纯溶剂(流动相)的折光指数之差,由于在稀溶液范围内,与溶液浓度成正比,所以直接反应了淋洗液的浓度即各级分的含量。其原理示意图如下:

利用GPC-RI检测多聚物时,其典型谱图如下:

图中纵坐标相当于淋洗液的浓度,横坐标淋出体积或时间表征着高分子尺寸的大小。如果把图中的横坐标转换成分子量M就成了分子量分布曲线。为了将Ve转换成M,要借助GPC校正曲线。
用一组已知分子量的单分散性聚合物标准试样,在与未知试样相同测试条件下得到的一系列GPC谱图,以它们的峰值位置的Ve对lgM作图,可得GPC校正曲线,有了校正曲线,可将多聚物的Ve转换成相应得分子量。需要注意的是一种聚合物的GPC校正曲线不能用于另一种聚合物,因此用GPC-RI测定某种聚合物得分子量时,需先用该种聚合物得标样测定校正曲线。这种通过标准品分子量拟合所得的分子量又称为相对分子量。
然而,该方法需要标准物事先标定,绘制标准曲线,且该标准曲线的准确性在很大程度上依赖于标准物与未知样品结构及性质的相似性。而标准品必须要求其与待测样性质相似、构象相似、密度相似且与柱填料无任何相互作用。因此,该方法误差较大,如果用于多聚物的分子量及分子量分布的测定,将很可能得不到精确可靠的数据,其质量将得不到强有力的保障。而光散射法与GPC联用技术的出现,迅速取代了凝胶渗透色谱法在该领域的应用。光散射技术(Light scatterring)原理:当光束照射到聚合物样品,由于密度起伏和溶液浓度不均一而引起在入射光前进的方向以外的各个方向产生散射光。关系任何方向的散射光强度与分子量和溶液浓度成正比,散射光角度的变化与分子的尺寸大小有关。十八角激光散射仪(MALS),即可以从十八个角度对散射光进行检测,收集散射光的强度。其示意图如下:

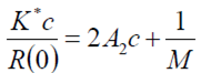
有关溶剂中分子量的光散射现象由下列公式表达:

上式中常数K:

n0是溶剂的折光指数;c是溶质分子的浓度(g/mol);NA是阿伏伽德罗常数;λ0是入射光的波长;dn/dc是溶液折射率与浓度变化的比值,它说明了随溶质浓度变化的溶液折光指数变化;R(0)是单个角度的散射光(大于溶剂的散射光数量)除以入射光强度所得的分数即不同角度光散射强度;A2是第二维里系数;Mw是重均分子量。
鉴于该技术不需要标样事先绘制标准曲线;测试的结果的准确性又完全不依赖于未知样品与标样结构及性质的相似性,因此,该技术被认为是高分子物质分子量的绝对表征方法。测试所得的分子量又被称为绝对分子量。
为什么大家都选择GPC-MALS-RI联用技术呢?
GPC-MALS-RI联用时,GPC仪可将溶液中的高分子按分子流体力学体积顺序依次洗脱出来,因此不仅可以测定单一聚合物,还可以测定高分子混合物,MALS测定不需要标准物质校正,直接测出分子量及其分布。几种仪器相互补充,不但可以测得绝对分子量(数均分子量、重均分子量、Z均分子量),还可以对样品的组成,从低浓度高分子量到高浓度低分子量都能解析出,还可以得到分子构型、聚集态等信息。其功能与应用普及性正与日俱增。
三黍生物
十年淀粉检测经验,可以提供专业的淀粉检测服务;一流的博硕技术团队,帮助客户轻松获得高质量数据并辅助数据解读。更多精彩欢迎关注我们公众号查看更多推文或者联系我们哦~
技术热线:4000-390-590
三黍网址:www.sanshubio.com
